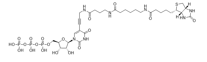
Biotin-16-UTP

| 产品货号 |
HN1040 |
| 分子式 | C32H50N7O19P3S(游离酸) |
| 分子量 | 961.76(游离酸) |
| CAS号 | / |
浓度 |
25 mM |
| 规格 | 50μL、100 μL |
| 纯度 | HPLC≥95% |
| 盐型 | TEA+ |
| 储存温度 | -15°C及以下保存 |
详情
下载

| 产品货号 |
HN1040 |
| 分子式 | C32H50N7O19P3S(游离酸) |
| 分子量 | 961.76(游离酸) |
| CAS号 | / |
浓度 |
25 mM |
| 规格 | 50μL、100 μL |
| 纯度 | HPLC≥95% |
| 盐型 | TEA+ |
| 储存温度 | -15°C及以下保存 |