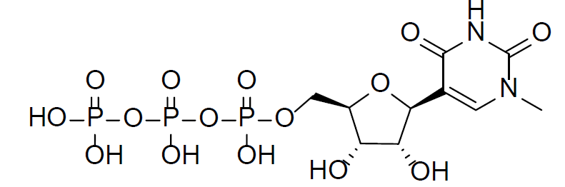
N1-Me-pUTP

| 产品货号 |
HN1002 |
| 分子式 | C10H17N2O15P3(游离酸) |
| 分子量 | 498.17(游离酸) |
| CAS号 | 1428903-59-6(游离酸) |
浓度 |
100mM |
| 规格 | 100 μL、1 mL |
| 纯度 | HPLC≥99% |
| 盐型 | Na+ |
| 储存温度 | -15°C及以下保存 |
详情
下载
N1-甲基假尿苷三磷酸(N1-Methyl-Pseudouridine-5'-Triphosphate,N1-Me-pUTP)是一种改良的NTP。在mRNA疫苗和药物生产过程中掺入N1-甲基假尿苷三磷酸可提高mRNA的翻译效率并降低mRNA在体内的免疫原性。
