中文
/
EN
首页
3377体育入口
公司简介
发展历程
团队
企业文化
公司荣誉
研发管线
新闻中心
业务合作
技术平台
项目合作
产品与服务
招贤纳士
员工福利
招聘信息
3377体育入口
产品与服务
Product and Service
首页
产品与服务
帽类似物
帽类似物
转录加帽试剂盒
修饰核苷酸
核苷酸
mRNA原液
服务
帽类似物
LZCap
?
AG(3'Acm)
LZCap
?
AG(3'FMom)
LZCap
?
AG(AM)
LZCap
?
AG(FM)
LZCap
?
AU(3'Acm)
LZCap
?
AG(3'Ma-Biotin)
LZCap
?
AG(3'Ma-Peg5-FAM)
LZCap
?
AG(3'Ma-Cy3)
LZCap
?
AG(3'Ma-Cy5)
LZCap
?
AG(3'Ma-Cy7)
转录加帽试剂盒
LZCap
?
AG(3'Acm) Capping Kit
LZCap
?
AG(3'Acm) Capping Kit (N1-Me-pUTP)
LZCap
?
AG(3'Ma-Cy5) Capping Kit (N1-Me-pUTP)
LZCap
?
AG(3'Ma-Cy7) Capping Kit (N1-Me-pUTP)
修饰核苷酸
dTTP-αS
dCTP-αS
dGTP-αS
Biotin-16-UTP
Biotin-11-UTP
Biotin-11-CTP
Biotin-11-GTP
Biotin-11-ATP
LNA-ATP
pUTP
N1-Me-pUTP
5mCTP
m6ATP
5OMeUTP
N7-Methy-GTP
5mUTP
5OHmCTP
5OHmUTP
ATP-αS
GTP-αS
CTP-αS
UTP-αS
EDA-ATP-MANT
(3'Ome)GTP-αS
(3'Ome)GTP
dATP-αS
Biotin-11-dUTP
Biotin-16-dUTP
Cy5-UTP
核苷酸
脱氧腺苷三磷酸 dATP
脱氧鸟苷三磷酸 dGTP
脱氧胞苷三磷酸 dCTP
脱氧胸苷三磷酸 dTTP
腺苷三磷酸 ATP
鸟苷三磷酸 GTP
胞苷三磷酸 CTP
尿苷三磷酸 UTP
mRNA原液
LZCap
?
AG(3'Acm) Firefly luc mRNA
LZCap
?
AG(3'Acm) eGFP mRNA
LZCap?AG(3'Acm) eGFP saRNA
LZCap? AG(3'Acm) Firefly luc saRNA
LZCap
?
AG(3'Acm) RFP mRNA
LZCap
?
AG(3'Acm) mCherry mRNA
LZCap
?
AG(3'Acm) RLuc mRNA
LZCap
?
AG(3'Acm) GLuc mRNA
LZCap
?
AG(3'Acm) Cas9 mRNA
服务
修饰核苷酸、脂质定制服务
mRNA、saRNA 定制服务
LNP包封服务
抗体偶联LNP定制服务
mRNA管线开发服务
前药开发服务
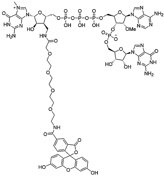
LZCap
?
AG(3'Ma-Peg5-FAM)
货号
HN3012
分子式
C
64
H
75
N
17
O
34
P
4
(游离酸)
分子量
1750.28(游离酸)
纯度
HPLC
≥90%
浓度
25mM
规格
50 μL、
100 μL
盐型
NH4
+
盐
保存
-15°C及以下保存
详情
下载
HN3012-LZCap?AG(3'Ma-Peg5-FAM)-产品介绍-2410.pdf
286.47KB
Download
sitemap
、
地图