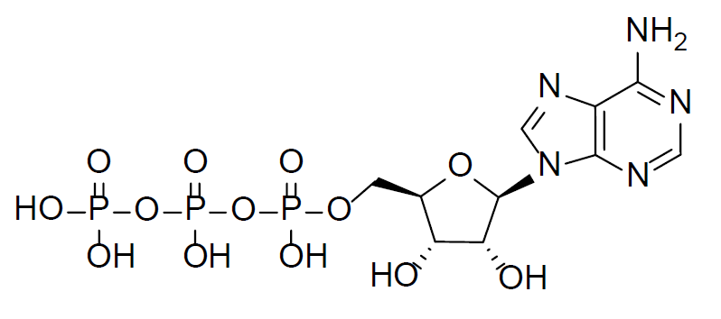
腺苷三磷酸 ATP

| 产品货号 | HN2005 |
| 分子式 | C10H16N5O13P3(游离酸) |
| 分子量 | 507.18(游离酸) |
| CAS号 | 56-65-5(游离酸) |
| 浓度 | 100 mM |
| 规格 | 1 mL |
| 纯度 |
HPLC ≥99% |
| 盐型 |
Na+ |
| 保存 |
-20°C保存 |
详情
下载
ATP(Adenosine-5 '-triphosphate),腺苷三磷酸,是由腺嘌呤、核糖和3个磷酸基团连接而成,可应用于分子生物学中的体外转录、RNA扩增、siRNA合成、连接和磷酸化等,无DNase和RNase污染。
