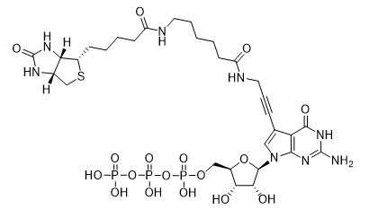
Biotin-11-GTP

| 产品货号 |
HN1037 |
| 分子式 | C30H45N8O17P3S(游离酸) |
| 分子量 | 914.71(游离酸) |
| CAS号 | / |
浓度 |
25 mM |
| 规格 | 50μL、100 μL |
| 纯度 | HPLC≥95% |
| 盐型 | TEA+ |
| 储存温度 | -15°C及以下保存 |
详情
下载
生物素修饰的鸟苷三磷酸(Biotin-11-GTP)广泛的应用于各种非放射性DNA标记反应,包括缺口平移,随机引物标记,3-末端标记或PCR过程中以酶促反应嵌入DNA。杂交的生物素化DNA 探针可以通过抗生物素蛋白和链霉抗生物素蛋白检测。数字'11'GTP和生物素之间的接头主链中的碳原子数。接头越长,生物素与抗生物素蛋白的相互作用就越有效。另一方面,接头越短,GTP更有效地掺入DNA。
Biotin-11-GTP被用来生产生物素化的DNA探针,适用于多种杂交反应,包括原位杂交、Southern blots, Northern blots, dot blots。
